View a markdown version of this page

Verwaltung der Speichereffizienz - FSx für ONTAP

Die vorliegende Übersetzung wurde maschinell erstellt. Im Falle eines Konflikts oder eines Widerspruchs zwischen dieser übersetzten Fassung und der englischen Fassung (einschließlich infolge von Verzögerungen bei der Übersetzung) ist die englische Fassung maßgeblich.

Verwaltung der Speichereffizienz

Indem Sie die Speichereffizienz Ihrer FSx vier ONTAP-Volumes erhöhen, können Sie die Speichernutzung optimieren, die Speicherkosten senken und die Gesamtleistung Ihres Dateisystems verbessern.

Anmerkung

Wir empfehlen, die Speichereffizienz mithilfe der FSx Amazon-Konsole oder der API AWS CLI zu aktivieren oder sicherzustellen, dass die optimalen Speichereffizienzeinstellungen auf Ihre Volumes angewendet werden.

ONTAPorganisiert Dateien in 4 Kibibyte (KiB) -Datenblöcke. Die Speichereffizienz erfolgt auf der Ebene der Datenblöcke und nicht auf der Ebene einzelner Dateien. Wenn die Speichereffizienz aktiviert ist, wird eine ONTAP Kombination von Datenreduzierungstechniken eingesetzt, um doppelte Daten zu vermeiden, die Datengröße zu komprimieren und das Datenlayout für eine optimale Festplattennutzung neu zu organisieren.

Speichereffizienzen werden auf zwei Arten angewendet. Sie werden direkt auf Daten angewendet (bevor Daten auf die Festplatte, also im Arbeitsspeicher) geschrieben werden, um sofort Speicherplatz einzusparen. Sie werden auch auf Daten im Hintergrund (nachdem die Daten auf die Festplatte geschrieben wurden) in der SSD-Speicherebene angewendet. Dabei werden regelmäßige Effizienzprüfungen durchgeführt, um die Speichernutzung im Laufe der Zeit zu optimieren. Die Speichereffizienz im Hintergrund wirkt sich nicht auf Daten aus, nachdem sie dem Kapazitätspool zugewiesen wurden. Wenn für die Daten jedoch während der SSD-Version Speichereinsparungen erzielt wurden, bleiben diese Einsparungen erhalten, wenn die Daten in den Kapazitätspool aufgeteilt werden.

Anmerkung

ONTAPunterstützt nicht die Aktivierung der Speichereffizienz auf Data-Protection-Volumes (DP). Die auf dem schreibbaren Quellvolume (RW) erzielten Speichereinsparungen bleiben jedoch erhalten, wenn Daten auf das Ziel-DP-Volume repliziert werden.

Komprimierung von Datenblöcken

Komprimierungsgruppen sind logische Gruppierungen von Daten, die zusammen als ein einziger Block verwaltet und komprimiert werden. ONTAPpackt Datenblöcke automatisch in Komprimierungsgruppen, wodurch der auf der Festplatte verbrauchte Speicherplatz reduziert wird. Zur Optimierung von Leistung und Speichernutzung ONTAP bietet diese Lösung einen ausgewogenen Ansatz für die Datenverwaltung, indem der Grad der Komprimierung, die auf die Daten angewendet wird, auf Grundlage ihrer Zugriffsmuster angepasst wird.

Standardmäßig werden Daten mithilfe von 8-KB-Komprimierungsgruppen inline komprimiert, um eine optimale Leistung beim Schreiben von Daten auf ein Volume zu gewährleisten. Optional können Sie Daten stärker komprimieren, indem Sie die inaktive Datenkomprimierung auf einem Volume aktivieren, um Daten auf der SSD weiter zu komprimieren. Bei der inaktiven Datenkomprimierung werden 32-KB-Komprimierungsgruppen für kalte Daten verwendet, um zusätzliche Speichereinsparungen zu erzielen. Weitere Informationen finden Sie in dem volume efficiency inactive-data-compression modifyBefehl in derNetApp ONTAP Documentation Center.

Anmerkung

Inaktive Datenkomprimierung verbraucht zusätzliche CPU- und Festplatten-IOPS und kann eine ressourcenintensive Aufgabe sein. Es wird empfohlen, die Auswirkungen einer inaktiven Datenkomprimierung auf Ihre Arbeitslast auf die Leistung zu bewerten, bevor Sie diese Funktion aktivieren.

Die folgende Abbildung zeigt die Speichereinsparungen, die durch die Komprimierung von Datenblöcken erzielt werden können.

Veranschaulicht die Speichereinsparungen, die durch die Komprimierung von Datenblöcken mit Komprimierungsgruppen erzielt werden können.

Deduplizierung von Datenblöcken

ONTAPerkennt und entfernt doppelte Datenblöcke, um Redundanzen in Daten zu reduzieren. Die doppelten Blöcke werden durch Verweise auf gemeinsam genutzte eindeutige Blöcke ersetzt.

Standardmäßig werden Daten inline dedupliziert, um den Speicherbedarf zu reduzieren, bevor Daten auf die Festplatte geschrieben werden. ONTAPführt außerdem in bestimmten Intervallen einen Deduplizierungsscanner im Hintergrund durch, um doppelte Daten zu identifizieren und zu entfernen, nachdem sie auf die Festplatte geschrieben wurden. ONTAPVerarbeitet während dieser geplanten Scans ein Änderungsprotokoll, um neue oder geänderte Datenblöcke seit dem letzten Scan zu identifizieren, die noch nicht dedupliziert wurden. Wenn Duplikate gefunden werden, ONTAP aktualisiert die Metadaten so, dass sie auf eine einzelne Kopie der duplizierten Blöcke verweisen, und markiert die redundanten Blöcke als freien Speicherplatz, der zurückgewonnen werden kann.

Anmerkung

ONTAPwendet die Deduplizierung auf 4 KB eingehender Schreibvorgänge gleichzeitig an, sodass Sie möglicherweise geringere Einsparungen bei der Deduplizierung erzielen, wenn Sie Workloads mit Schreibvorgängen ausführen, die kleiner als 4 KB sind.

FSx für ONTAP unterstützt keine volumenübergreifende Deduplizierung.

Die folgende Abbildung zeigt die Speichereinsparungen, die durch Deduplizierung erzielt werden können.

Veranschaulicht die Speichereinsparungen, die durch Deduplizierung erzielt werden können.

Verdichtung von Datenblöcken

ONTAPkonsolidiert teilweise gefüllte Datenblöcke, die jeweils weniger als 4 KB groß sind, zu einem effizienter genutzten 4-KB-Block.

Standardmäßig werden Daten inline komprimiert, um das Layout der Daten beim Schreiben auf die Festplatte zu optimieren und so den Speicheraufwand zu minimieren, Fragmentierung zu reduzieren und die Leseleistung zu verbessern.

Die folgende Abbildung zeigt die Speichereinsparungen, die durch die Komprimierung erzielt werden können.

Veranschaulicht die Speichereinsparungen, die durch Verdichtung erzielt werden können.

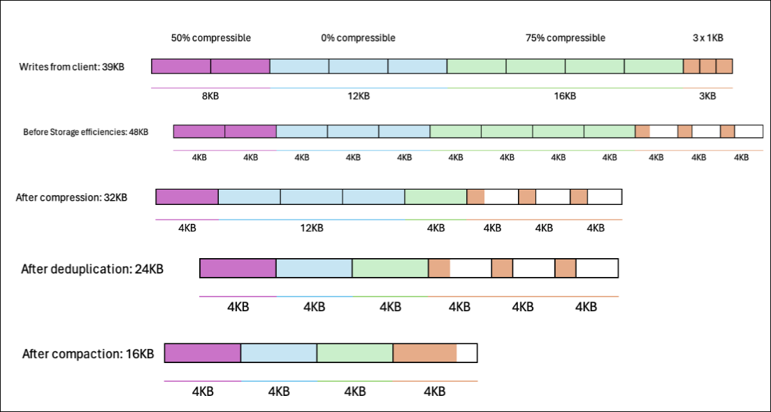
Beispiel: Speichereffizienz

Die folgende Abbildung zeigt, wie Speichereffizienzen auf Daten angewendet werden.

Veranschaulicht, wie Speichereffizienz auf Daten angewendet wird.