View a markdown version of this page

Administración de la eficiencia de almacenamiento - FSx para ONTAP

Las traducciones son generadas a través de traducción automática. En caso de conflicto entre la traducción y la version original de inglés, prevalecerá la version en inglés.

Administración de la eficiencia de almacenamiento

Al aumentar la eficiencia del almacenamiento en sus volúmenes FSx de ONTAP, puede optimizar la utilización del almacenamiento, reducir los costes de almacenamiento y mejorar el rendimiento general de su sistema de archivos.

nota

Recomendamos habilitar la eficiencia del almacenamiento mediante la FSx consola o la API de Amazon o AWS CLI garantizar que se aplique la configuración óptima de eficiencia del almacenamiento a sus volúmenes.

ONTAP organiza los archivos en bloques de datos de 4 kibibytes (KiB). La eficiencia del almacenamiento se produce en el bloque de datos y no en archivos individuales. Cuando se habilita la eficiencia del almacenamiento, ONTAP emplea una combinación de técnicas de reducción de datos para eliminar los datos duplicados, reducir el tamaño de los datos y reorganizar el diseño de los datos para un uso óptimo del disco.

La eficiencia de almacenamiento se aplica de dos formas. Se aplican a los datos en línea (antes de que los datos se escriban en el disco, en la memoria) para generar ahorros de almacenamiento inmediatos. También se aplican a los datos en segundo plano (después de que se hayan escrito en el disco) en el nivel de almacenamiento en SSD mediante tareas periódicas de eficiencia para optimizar la utilización del almacenamiento a lo largo del tiempo. La eficiencia del almacenamiento en segundo plano no se basa en los datos una vez que están estratificados en el grupo de capacidad. Sin embargo, si los datos ahorraron espacio de almacenamiento mientras estaban en la SSD, estos ahorros se conservan cuando los datos se agrupan en niveles según el grupo de capacidad.

nota

ONTAP no permite aumentar la eficiencia del almacenamiento en los volúmenes de protección de datos (DP). Sin embargo, los ahorros de almacenamiento logrados en el volumen de lectura y escritura (RW) de origen se mantienen cuando los datos se replican en el volumen de DP de destino.

Compresión de bloques de datos

Los grupos de compresión son agrupaciones lógicas de datos que se administran y comprimen juntas como un solo bloque. ONTAP empaqueta automáticamente los bloques de datos en grupos de compresión, lo que reduce el espacio consumido en el disco. Para optimizar el rendimiento y la utilización del almacenamiento, ONTAP ofrece un enfoque equilibrado de la administración de datos mediante el ajuste del grado de compresión que se aplica a los datos en función de los patrones de acceso.

De forma predeterminada, los datos se comprimen en línea mediante grupos de compresión de 8 KB para garantizar un rendimiento óptimo al escribir datos en un volumen. Si lo desea, puede aplicar una compresión más intensa a los datos activando la compresión de datos inactivos en un volumen para comprimir aún más los datos en la SSD. La compresión de datos inactivos usa grupos de compresión de 32 KB en datos inactivos para ahorrar espacio de almacenamiento adicional. Para obtener más información, consulte el comando volume efficiency inactive-data-compression modify en el NetApp ONTAP Documentation Center.

nota

La compresión de datos inactivos consume IOPS adicionales de CPU y disco y puede ser una tarea que requiera muchos recursos. Le recomendamos que evalúe el impacto que tiene en el rendimiento la ejecución de una compresión de datos inactivos en la carga de trabajo antes de habilitar esta característica.

En la siguiente imagen, se ilustran los ahorros de almacenamiento que se pueden lograr al comprimir bloques de datos.

Se ilustran los ahorros de almacenamiento que se pueden lograr al comprimir bloques de datos a través de grupos de compresión.

Desduplicación de bloques de datos

ONTAP detecta y elimina los bloques de datos duplicados para reducir las redundancias en los datos. Los bloques duplicados se sustituyen por referencias a bloques únicos compartidos.

De forma predeterminada, los datos se deduplican en línea para reducir el espacio de almacenamiento antes de que los datos se escriban en el disco. ONTAP también ejecuta un escáner de deduplicación en segundo plano a intervalos específicos para identificar y eliminar los datos duplicados una vez escritos en el disco. Durante estos escaneos programados, ONTAP procesa un registro de cambios para identificar bloques de datos nuevos o modificados desde el último escaneo que aún no se han deduplicado. Cuando se encuentran duplicados, ONTAP actualiza los metadatos para que apunten a una sola copia de los bloques duplicados y marca los bloques redundantes como espacio libre listo para recuperse.

nota

ONTAP aplica la deduplicación a 4 KB de escrituras entrantes a la vez, por lo que es posible que ahorre menos con la deduplicación al ejecutar cargas de trabajo con escrituras de menos de 4 KB.

FSx porque ONTAP no admite la deduplicación entre volúmenes.

En la siguiente imagen, se ilustran los ahorros de almacenamiento que se pueden lograr con la deduplicación.

Se ilustran los ahorros de almacenamiento que se pueden lograr con la deduplicación.

Compactación de bloques de datos

ONTAP consolida bloques de datos parcialmente ocupados de menos de 4 KB cada uno en un bloque de 4 KB usado de manera más eficiente.

De forma predeterminada, los datos se compactan en línea para optimizar el diseño de los datos a medida que se escriben en el disco para minimizar la sobrecarga de almacenamiento, reducir la fragmentación y mejorar el rendimiento de lectura.

En la siguiente imagen, se ilustran los ahorros de almacenamiento que se pueden lograr con la compactación.

Se ilustran los ahorros de almacenamiento que se pueden lograr con la compactación.

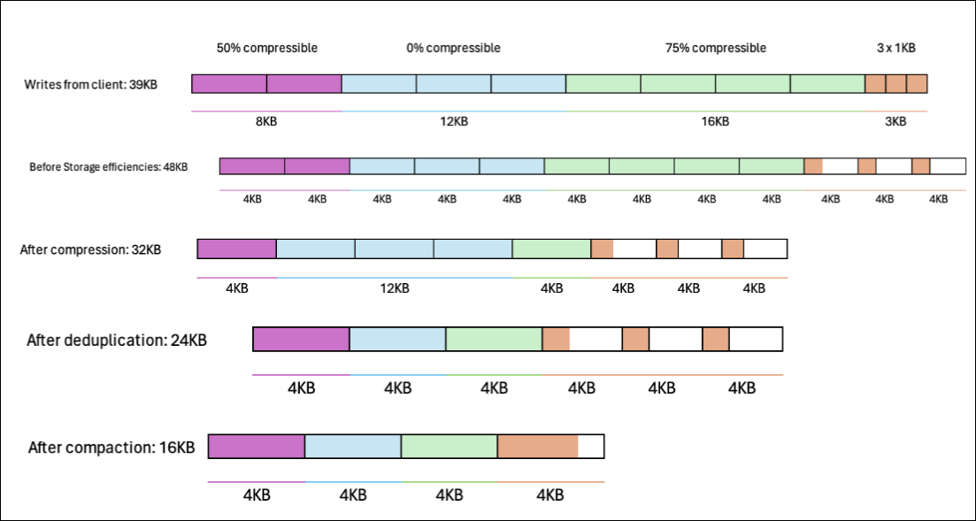
Ejemplo: eficiencia del almacenamiento

En la siguiente imagen, se ilustra cómo se aplican las eficiencias del almacenamiento a los datos.

Se ilustra cómo se aplican las eficiencias del almacenamiento a los datos.