View a markdown version of this page

Funcionamiento de las máquinas de factorización - Amazon SageMaker AI

Las traducciones son generadas a través de traducción automática. En caso de conflicto entre la traducción y la version original de inglés, prevalecerá la version en inglés.

Funcionamiento de las máquinas de factorización

La tarea de predicción para un modelo de máquinas de factorización es calcular una función ŷ desde un conjunto de características xi a un dominio de destino. Este dominio es de valor real para la regresión y binario para la clasificación. El modelo de máquinas de factorización se supervisa, por lo que tiene un conjunto de datos de entrenamiento (xi,yj) disponible. Las ventajas de este modelo están en la forma en que utiliza una parametrización factorizada para capturar las interacciones de características por par. Puede representarse matemáticamente tal y como se indica a continuación:

Una imagen que contiene la ecuación para el modelo de máquinas de factorización.

Los tres términos en esta ecuación corresponden, respectivamente, a los tres componentes del modelo:

  • El término w0 representa el sesgo global.

  • Los plazos lineales wi modelan la intensidad de la variable número i.

  • Los plazos de factorización <vi,vj> modelan la interacción de par entre las variables número i y j.

Los plazos lineales y de sesgo globales son los mismos que en el modelo lineal. Las interacciones de características por pares se modelan en el tercer plazo como el producto interno de los factores correspondientes aprendidos para cada característica. Los factores aprendidos pueden considerarse también vectores de integración para cada característica. Por ejemplo, en una tarea de clasificación, si un par de características suele darse con más frecuencia en muestras etiquetadas positivas, el producto interno de sus factores debería ser grande. Es decir, los vectores de integración deberían estar próximos en la similaridad de coseno. Para obtener más información sobre el modelo de máquinas de factorización, consulte Factorization Machines.

Para las tareas de regresión, se realiza el entrenamiento del modelo minimizando el error cuadrático entre la predicción del modelo ŷn y el valor de destino yn. Esto se denomina la pérdida cuadrada:

Una imagen que contiene la ecuación para pérdida cuadrada.

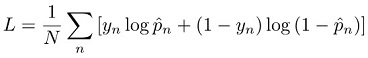
Para una tarea de clasificación, el modelo se capacita minimizando la pérdida de entropía cruzada, conocida también como pérdida de registro:

Una imagen que contiene la ecuación para pérdida de registro.

donde:

Una imagen que contiene la función logística de los valores previstos.

Para obtener más información acerca de funciones de pérdida para la clasificación, consulte la página sobre funciones de pérdida para clasificación.