Gestione dell'efficienza dello storage - FSx per ONTAP

Le traduzioni sono generate tramite traduzione automatica. In caso di conflitto tra il contenuto di una traduzione e la versione originale in Inglese, quest'ultima prevarrà.

Gestione dell'efficienza dello storage

Abilitando l'efficienza dello storage sui volumi FSx for ONTAP, è possibile ottimizzare l'utilizzo dello storage, ridurre i costi di storage e migliorare le prestazioni complessive del file system.

Nota

Ti consigliamo di abilitare l'efficienza dello storage utilizzando la FSx console Amazon, l'API o di AWS CLI assicurarti che le impostazioni di efficienza di storage ottimali vengano applicate ai tuoi volumi.

ONTAPorganizza i file in 4 blocchi di dati kibibyte (KiB). L'efficienza dello storage avviene a livello di blocco di dati anziché a livello di singoli file. Quando l'efficienza dello storage è abilitata, ONTAP utilizza una combinazione di tecniche di riduzione dei dati per eliminare i dati duplicati, comprimere le dimensioni dei dati e riorganizzare il layout dei dati per un utilizzo ottimale del disco.

Le efficienze di storage vengono applicate in due modi. Vengono applicate ai dati in linea (prima che i dati vengano scritti su disco, in memoria) per offrire risparmi di archiviazione immediati. Vengono inoltre applicati ai dati in background (dopo la scrittura su disco) nel livello di storage SSD attraverso processi periodici di efficienza per ottimizzare l'utilizzo dello storage nel tempo. Le efficienze dello storage in background non si ripercuotono sui dati dopo che sono stati distribuiti su più livelli al pool di capacità. Tuttavia, se i dati hanno ottenuto risparmi di storage mentre erano in SSD, tali risparmi vengono preservati quando i dati vengono suddivisi in livelli per il pool di capacità.

Nota

ONTAPnon supporta l'attivazione di efficienze di storage sui volumi di protezione dei dati (DP). Tuttavia, i risparmi di storage ottenuti nel volume di lettura e scrittura (RW) di origine vengono preservati quando i dati vengono replicati nel volume DP di destinazione.

Compressione dei blocchi di dati

I gruppi di compressione sono raggruppamenti logici di dati che vengono gestiti e compressi insieme come un unico blocco. ONTAPcomprime automaticamente i blocchi di dati in gruppi di compressione, riducendo così lo spazio occupato su disco. Per ottimizzare le prestazioni e l'utilizzo dello storage, ONTAP offre un approccio bilanciato alla gestione dei dati regolando il grado di compressione applicato ai dati in base ai modelli di accesso.

Per impostazione predefinita, i dati vengono compressi in linea utilizzando gruppi di compressione da 8 KB per garantire prestazioni ottimali durante la scrittura dei dati su un volume. Facoltativamente, puoi applicare una compressione più intensa ai dati abilitando la compressione inattiva dei dati su un volume per comprimere ulteriormente i dati in SSD. La compressione inattiva dei dati utilizza gruppi di compressione da 32 KB su dati freddi per ulteriori risparmi di archiviazione. Per ulteriori informazioni, vedere il volume efficiency inactive-data-compression modifycomando in. NetApp ONTAP Documentation Center

Nota

La compressione inattiva dei dati consuma ulteriori IOPS della CPU e del disco e può essere un'attività che richiede molte risorse. Si consiglia di valutare l'impatto sulle prestazioni dell'esecuzione della compressione inattiva dei dati sul carico di lavoro prima di abilitare questa funzionalità.

L'immagine seguente illustra i risparmi di storage che è possibile ottenere comprimendo i blocchi di dati.

Illustra i risparmi di archiviazione che è possibile ottenere comprimendo i blocchi di dati con gruppi di compressione.

Deduplicazione dei blocchi di dati

ONTAPrileva ed elimina i blocchi di dati duplicati per ridurre le ridondanze nei dati. I blocchi duplicati vengono sostituiti con riferimenti a blocchi unici condivisi.

Per impostazione predefinita, i dati vengono deduplicati in linea per ridurre l'ingombro dello storage prima che i dati vengano scritti su disco. ONTAPesegue inoltre uno scanner di deduplicazione in background a intervalli specifici per identificare ed eliminare i dati duplicati dopo la scrittura su disco. Durante queste scansioni pianificate, ONTAP elabora un registro delle modifiche per identificare i blocchi di dati nuovi o modificati dall'ultima scansione che non sono ancora stati deduplicati. Quando vengono trovati dei duplicati, ONTAP aggiorna i metadati in modo che rimandino a una singola copia dei blocchi duplicati e contrassegna i blocchi ridondanti come spazio libero pronto per essere recuperato.

Nota

ONTAPapplica la deduplicazione a 4 KB di scritture in entrata alla volta, quindi è possibile ottenere minori risparmi sulla deduplicazione quando si eseguono carichi di lavoro con scritture di dimensioni inferiori a 4 KB.

FSx for ONTAP non supporta la deduplicazione tra volumi.

L'immagine seguente illustra i risparmi di storage che è possibile ottenere con la deduplicazione.

Illustra i risparmi di storage che è possibile ottenere con la deduplicazione.

Compattazione dei blocchi di dati

ONTAPconsolida i blocchi di dati parzialmente riempiti che pesano meno di 4 KB ciascuno in un blocco da 4 KB utilizzato in modo più efficiente.

Per impostazione predefinita, i dati vengono compattati in linea per ottimizzare il layout dei dati durante la scrittura su disco per ridurre al minimo il sovraccarico di archiviazione, ridurre la frammentazione e migliorare le prestazioni di lettura.

L'immagine seguente illustra i risparmi di storage che è possibile ottenere con la compattazione.

Illustra i risparmi di archiviazione che si possono ottenere con la compattazione.

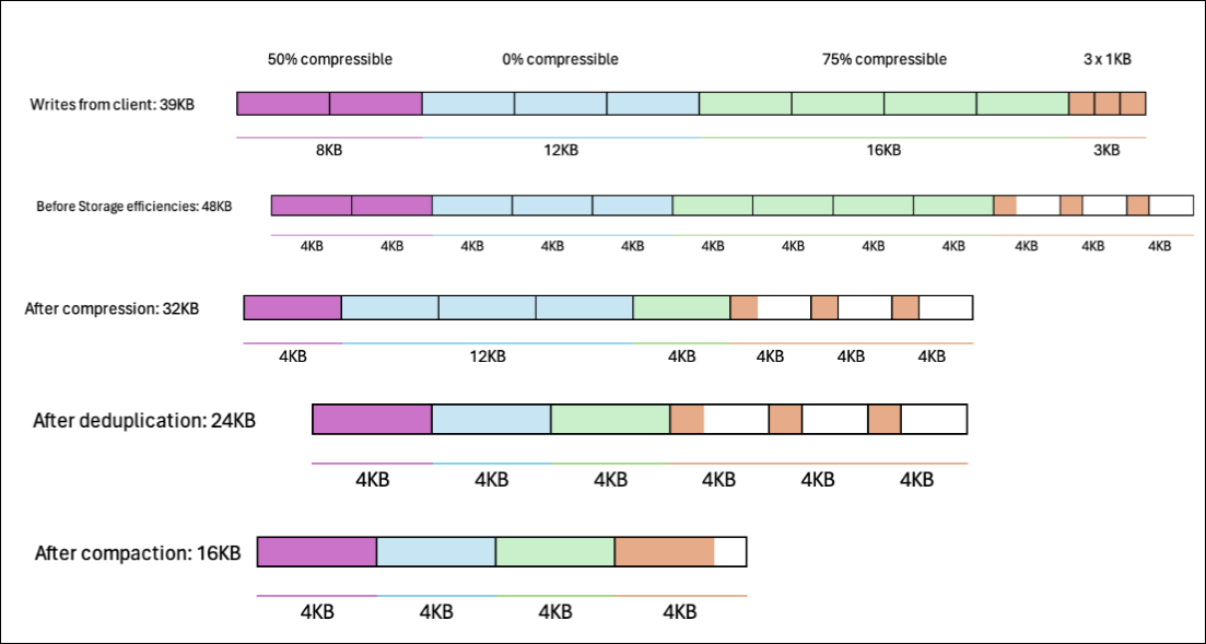
Esempio: efficienze di storage

L'immagine seguente illustra come le efficienze di storage vengono applicate ai dati.

Illustra come le efficienze di storage vengono applicate ai dati.